Skip to content Skip to sidebar Skip to footer

Widget HTML #1

How To Prove A Function Is One To One - Show that the x value.

How To Prove A Function Is One To One - Show that the x value.. A function f:a → b f: Please subscribe here, thank you!!! Assume two elements are in the domain. A → b is onto if every element of the codomain b is the image of some element of a. Let us see the function f:

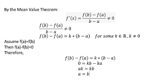
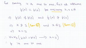
In other words, each x in the domain has exactly one image in the range. A → b is onto if every element of the codomain b is the image of some element of a. For all elements x1, x2 ∈ a. So, assume that f(x) = f(y) where x, y ∈ a, and from this assumption deduce that x = y. A → b is said to be one to one (injective) if for every x, y ∈ a, f (x) = f (y) then x = y.

Onto Function Prove A Function Is Onto Surjective Function
Onto Function Prove A Function Is Onto Surjective Function from d138zd1ktt9iqe.cloudfront.net
So, assume that f(x) = f(y) where x, y ∈ a, and from this assumption deduce that x = y. The best way of proving a function to be one to one or onto is by using the definitions. Assume two elements are in the domain. In the venn diagram below, function f is a one to one since not two inputs have a common output. A → b is said to be one to one (injective) if for every x, y ∈ a, f (x) = f (y) then x = y. And, no y in the range is the image of more than one x in the domain. This simply means that a unique element of a is mapped to a unique element of b. In other words, each x in the domain has exactly one image in the range.

This simply means that a unique element of a is mapped to a unique element of b.

A → b is onto if every element of the codomain b is the image of some element of a. A → b is said to be one to one (injective) if for every x, y ∈ a, f (x) = f (y) then x = y. So, assume that f(x) = f(y) where x, y ∈ a, and from this assumption deduce that x = y. The best way of proving a function to be one to one or onto is by using the definitions. This means that for every value of x, there will be a unique value of y or f (x). This last property is useful in proving that a function is or is not a one to one. A function f:a → b f: Show that the x value. This is a fun algebraic proof that a function is one to one. Assume two elements are in the domain. Please subscribe here, thank you!!! Assume their y values are the same. And, no y in the range is the image of more than one x in the domain.

In other words, each x in the domain has exactly one image in the range. A function f:a → b f: The best way of proving a function to be one to one or onto is by using the definitions. One to one function definition the function, f (x), is a one to one function when one unique element from its domain will return each element of its range. A → b is said to be one to one (injective) if for every x, y ∈ a, f (x) = f (y) then x = y.

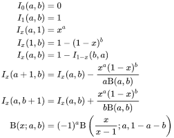
Beta Function Wikipedia
Beta Function Wikipedia from wikimedia.org
In the venn diagram below, function f is a one to one since not two inputs have a common output. Assume two elements are in the domain. And, no y in the range is the image of more than one x in the domain. Please subscribe here, thank you!!! This last property is useful in proving that a function is or is not a one to one. The best way of proving a function to be one to one or onto is by using the definitions. R → r defined as f (x) = 2 x + 4. F(x1) = f(x2) ⇒ x1 = x2.

This means that for every value of x, there will be a unique value of y or f (x).

The best way of proving a function to be one to one or onto is by using the definitions. Show that the x value. So, assume that f(x) = f(y) where x, y ∈ a, and from this assumption deduce that x = y. In the venn diagram below, function f is a one to one since not two inputs have a common output. This is a fun algebraic proof that a function is one to one. Assume two elements are in the domain. A → b is onto if every element of the codomain b is the image of some element of a. In other words, each x in the domain has exactly one image in the range. This simply means that a unique element of a is mapped to a unique element of b. F(x1) = f(x2) ⇒ x1 = x2. Please subscribe here, thank you!!! And, no y in the range is the image of more than one x in the domain. A function f:a → b f:

A → b is onto if every element of the codomain b is the image of some element of a. A function f:a → b f: For all elements x1, x2 ∈ a. The best way of proving a function to be one to one or onto is by using the definitions. Please subscribe here, thank you!!!

Maths Is Easy Relation And Functions What Is A Facebook
Maths Is Easy Relation And Functions What Is A Facebook from lookaside.fbsbx.com
A → b is said to be one to one (injective) if for every x, y ∈ a, f (x) = f (y) then x = y. This is a fun algebraic proof that a function is one to one. Please subscribe here, thank you!!! This means that for every value of x, there will be a unique value of y or f (x). This simply means that a unique element of a is mapped to a unique element of b. And, no y in the range is the image of more than one x in the domain. So, assume that f(x) = f(y) where x, y ∈ a, and from this assumption deduce that x = y. One to one function definition the function, f (x), is a one to one function when one unique element from its domain will return each element of its range.

Please subscribe here, thank you!!!

Assume two elements are in the domain. This means that for every value of x, there will be a unique value of y or f (x). Show that the x value. In other words, each x in the domain has exactly one image in the range. So, assume that f(x) = f(y) where x, y ∈ a, and from this assumption deduce that x = y. And, no y in the range is the image of more than one x in the domain. One to one function definition the function, f (x), is a one to one function when one unique element from its domain will return each element of its range. F(x1) = f(x2) ⇒ x1 = x2. A function f:a → b f: This simply means that a unique element of a is mapped to a unique element of b. A → b is said to be one to one (injective) if for every x, y ∈ a, f (x) = f (y) then x = y. The best way of proving a function to be one to one or onto is by using the definitions. This is a fun algebraic proof that a function is one to one.